ARTICLE

Vol. 138 No. 1614 |

DOI: 10.26635/6965.6871

Cancers potentially attributable to excess body weight in Aotearoa New Zealand from 2019 to 2023

People can be healthy across a spectrum of diverse body sizes, emphasising the complex and multifaceted nature of body size beyond Western-defined norms. The language, framing and terminology around body weight are important due to the known impacts of weight bias and stigma on healthcare access and quality, and professional interactions. Recognising that excess body weight (EBW) is a risk factor for several diseases and that weight stigma influences health outcomes, is an important consideration for public health practitioners that underscores the need for a nuanced understanding of the interplay between body size and health.

Full article available to subscribers

People can be healthy across a spectrum of diverse body sizes, emphasising the complex and multifaceted nature of body size beyond Western-defined norms.1,2 The language, framing and terminology around body weight are important due to the known impacts of weight bias and stigma on healthcare access and quality, and professional interactions.3,4 Recognising that excess body weight (EBW) is a risk factor for several diseases, and that weight stigma influences health outcomes, is an important consideration for public health practitioners that underscores the need for a nuanced understanding of the interplay between body size and health.5

EBW is defined using body mass index (BMI) categories. While widely employed, BMI has well-documented limitations, as it is based solely on height and weight and does not account for individual variations in health risk. Its applicability across different ethnic groups has also been critiqued.6 Despite these limitations, BMI is a useful population-level measure for assessing health risk attribution.7 BMI is calculated as weight in kilograms divided by the square of height in meters (kg/m2), with the World Health Organization classifying adult BMI as follows: normal weight (18.50–24.99kg/m2), overweight (25.00–29.99kg/m2) and obese (≥30kg/m2).7 In this paper, we use the World Health Organization BMI classifications to define EBW.

When attributing health risks to EBW, it is essential to consider the whole person, including their broader wellbeing, lifestyle, whānau, social and cultural context and disabilities. As BMI does not capture these complexities, acknowledging the multifactorial drivers of EBW is crucial. Nevertheless, BMI remains a practical and cost-effective tool for tracking population-level weight trends, facilitating comparisons across groups and time periods, and informing public health monitoring and policy development.8

For this paper, we have adopted the term “excess body weight” over “obesity”, informed by critical public health perspectives, equity-focussed frameworks, Indigenous lived experiences and fat studies literature, which challenge the medicalisation and stigma attached to body weight.9–11 This approach reflects a commitment to destigmatisation and equity, recognising intersecting biases and health inequities experienced by people with EBW related to gender, ethnicity, socio-economic status, geography and other social determinants.11–13 Our approach is also aligned to Indigenous and collective perspectives recognising that numerical or clinical criteria do not solely define health—rather, health is deeply rooted in cultural, historical and social contexts. We draw on multiple perspectives to support a balance between achieving public health objectives and mitigating weight-related stigma, thereby promoting a more inclusive and respectful dialogue around health outcomes. Striking this balance remains a challenging yet necessary consideration.

Aotearoa New Zealand has one of the highest rates of people living with EBW in the Organisation for Economic Co-operation and Development (OECD),14 disproportionately impacting Māori and Pacific peoples, with 48% of Māori and 65% of Pacific adults living with EBW.15 New Zealand has high rates of children living with EBW, at one point ranking as the third highest among OECD countries.16 This trend raises concerns about subsequent cancer risk, as high childhood EBW rates would likely contribute to increased EBW prevalence in adulthood.17

Numerous complex and interacting factors are related to body weight, such as a person’s genetics, biology and socio-ecological factors.7 Other key drivers include health-disrupting environments that provide easy availability of cheap, energy-dense foods, combined with persuasive and pervasive food marketing and reduced opportunities for physical activity.18,19 This has led to what is often termed an “obesogenic” environment, whereby making a healthy choice has become increasingly difficult and expensive, especially for vulnerable populations living in lower socio-economic areas.20 These factors contribute to a socio-economic gradient, with those in lower socio-economic groups being more likely to experience EBW.12

From a public health perspective, EBW is categorised as both a potentially modifiable and socially mediated risk factor and is associated with various non-communicable diseases, including type 2 diabetes and cardiovascular disease. There is sufficient evidence for a causal association with at least 12 types of cancer.21–23 These cancers include breast (postmenopausal), colorectal, uterine, ovary, pancreas, kidney, gallbladder, stomach (cardia), liver, oesophagus (adenocarcinoma), thyroid and multiple myeloma. More recently, probable evidence of a causal association has emerged for advanced prostate cancer.24 The causal link of EBW to cancer risk is supported by evidence from numerous epidemiological studies demonstrating a robust dose–response relationship in the association, as well as experimental studies proposing multiple biological mechanisms.21

Systemic challenges that contribute to ethnic-specific inequities in cancer outcomes in New Zealand are well reported.25–27 Factors such as barriers to primary care, diagnostic delay and the lack of culturally responsive care, alongside the need for systemic improvements in healthcare delivery, have been recognised.28 Māori face excess mortality rates, influenced by comorbidities and systemic barriers, including inequities within the health system.29–31 The recent rise in endometrial cancer incidence, with a 59% increase in cases over the past decade, calls for focussed attention, especially as Pacific communities experience substantial impacts. This trend also affects other ethnic groups, with an increase in younger age groups, underscoring the importance of comprehensive strategies to address these health challenges effectively.32

In this paper we firstly aim to assess the cancer burden associated with EBW in New Zealand adults aged 30 years and older from 2019 to 2023. Second, we seek to draw attention to language and approach in public health with respect to EBW and how health organisations should be prioritising the creation of safe, accessible healthcare and supportive environments. This includes enhancing healthcare accessibility and quality for all, particularly for minoritised communities, and ensuring that interventions are inclusive and respectful of all body types.

Method

Ethnicity

Ethnicity data used were as recorded in the New Zealand Cancer Registry, following the Ethnicity Data Protocols set out in Health Information Standards Organisation 10001:2017.33 These protocols ensure standardised collection and reporting of ethnicity across the health system, with prioritised ethnicity applied—where individuals with multiple ethnic affiliations are assigned to a single group based on a set hierarchy, typically prioritising Māori and Pacific peoples. While this method aids in focussed analysis of specific ethnic groups, it carries certain limitations, including the potential for ethnicity misclassification and undercounting.34 Misclassification can occur when individuals’ self-identified ethnicities are inaccurately recorded, leading to potential biases in health outcome analyses. Additionally, the use of prioritised ethnicity may mask the presence of smaller ethnic groups and undercount individuals with multiple ethnic affiliations. These limitations can affect the accuracy of ethnic health equity assessments, particularly when examining outcomes for Māori and Pacific populations.

Sex

Sex classification was based on data recorded in the New Zealand Cancer Registry, which follows the sex recorded in the patient’s National Health Index at the time of assignment or registration. This method ensures consistency across health datasets and facilitates comparison with other health outcomes. However, the reliance on sex assigned at birth may not capture gender identity or the experiences of individuals whose gender does not align with their assigned sex. While this approach is necessary for ensuring data comparability, it presents limitations when considering broader aspects of gender diversity in health outcomes.

Age

The analysis was limited to cancers among those aged 30 years or older as the evidence for cancers associated with EBW in those aged younger than 30 years is limited.21 An exception was postmenopausal breast cancer, where an age cutoff of 50 was used.

Relative risk estimates

The estimates of relative risk associated with EBW relative to normal weight for the 12 cancers (Table 1 and Table 2) were obtained from Brown et al.,35 a systematic analysis of modifiable cancer risk factors using meta-analyses and cohort studies. While the study provides estimates for the United Kingdom, the fundamental biological mechanisms linking EBW to cancer are well established and likely applicable across populations. Given New Zealand’s high prevalence of EBW and the lack of large-scale New Zealand-specific relative risk estimates, these findings offer a robust evidence base for assessing EBW-related cancers in New Zealand. Where available, sex specific estimates by cancer type were used.

View Table 1–6.

Exposure prevalence estimates

Annual sex- and ethnic-specific crude prevalence data from the New Zealand Health Survey from 2006/2007 were used as our estimate of EBW.36 This provided a greater-than-10-year lag period between risk exposure and cancer incidence. Two classifications of EBW were used that aligned with different estimates of risk: a BMI of 25.00–29.99kg/m2 and a BMI of ≥30kg/m2.7

Cancer data

We used anonymised data from the New Zealand Cancer Registry for the period 2019–2023. It is a population-based register of all primary malignant diseases diagnosed in New Zealand, excluding squamous and basal cell skin cancers.

Statistical analysis

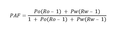
The population attributable fraction (PAF) for each sex- and ethnic-specific group utilising two levels of EBW was calculated for each cancer using the standard formula:

PAF is the attributable proportion for each cancer attributable to EBW.

Pw is the proportion of the population who have a BMI between 25.00 and 29.99kg/m2.

Po is the proportion of the population who have a BMI ≥30kg/m2.

Rw is the cancer-specific relative risk for a BMI between 25.00 and 29.99kg/m2.

Ro is the cancer-specific relative risk for a BMI ≥30kg/m2.

The sex- and ethnic-specific PAF for each cancer were multiplied by the number of primary cancer registrations in the population from each respective cancer to obtain cancer-specific EBW attributable estimates. For each cancer, EBW-attributable estimates were calculated separately for males and females and for each of the Māori, Pacific, Asian and European/Other ethnic groups. The proportion of EBW-attributable cancers was summed to generate the total number of cancers attributable to EBW.

Recognising the uncertainties in both relative risk and EBW prevalence estimates, we applied a parametric bootstrap technique, incorporating the 95% confidence intervals (CIs) of these parameters, to generate robust CIs for each cancer-specific PAF as well as the aggregated PAFs. We executed 10,000 bootstrap iterations, in which each iteration involved random selection of relative risk and EBW prevalence estimates within their respective CIs. This selection informed the recalculation of PAFs for each cancer type. The PAFs were then weighted by the incidence of each cancer to estimate the total number of cases attributable to EBW for that iteration. The 95% CI for the overall EBW-related cancer burden was derived from the 2.5th and 97.5th percentiles of the aggregated PAFs across all bootstrap samples.

Estimating cancers with a reduction in EBW

Two scenarios are modelled to assess the potential impact of reducing the prevalence of EBW on EBW-attributable cancers. This modelling can be thought of as the number of cancers that could potentially be prevented in a single year at the given prevalence of EBW. Scenario one proposes a reduction in the population prevalence with a BMI of 30kg/m2 or more by 50%, with the assumption that individuals from this category move into the BMI range of 25.00–29.99kg/m2. Scenario two envisions a more comprehensive reduction, halving the prevalence of EBW across both BMI categories (BMI ≥30kg/m2 and BMI 25.00–29.99kg/m2).

Ethical approval

The study was considered low risk as it only used deidentified data and received locality authorisation approval from the Health New Zealand – Waitematā District, Research & Knowledge Centre (Approval Code: WAI20249).

Results

Total number of cancers attributable to EBW

Between 2019 and 2023, 5.1% (95% CI 4.7–5.5) of all cancers in New Zealand among those aged 30 and above were attributed to EBW, amounting to 6,962 cancers (Table 3) or around 1,390 per year on average. The proportion of EBW-related cancers was higher in females at 6.3% (95% CI 5.7–6.9) with 4,010 cancers (802 per year) compared with males at 4.1% (95% CI 3.6–4.6) with 2,952 cancers (590 per year). The cancer types with the highest totals attributable to EBW (Table 5) were colorectal, with 1,801 cases (360 per year) and a PAF of 10.5% (95% CI 8.0–13.1), uterine cancer with 1,331 cases and a PAF of 36.7% (95% CI 34.3–39.2) and breast (in females 50+ only) with 1,231 cases (266 per year) and a PAF of 8.8% (95% CI 6.8–10.7). Oesophageal adenocarcinoma, although less frequent, had the highest PAF (Table 4) at 44.2% (95% CI 41.6–46.9), leading to 454 cases (91 per year).

Among Māori, the overall PAF was 6.9% (95% CI 6.3–7.5), translating to 1,103 cancers (221 per year) attributable to EBW. The PAF for Māori females was 8.2% (95% CI 7.2–9.2), accounting for 705 cancers (141 per year), while Māori males had a PAF of 5.4% (95% CI 4.8–6.0), translating to 398 cancers (79 per year). Among specific cancers, the highest PAF was observed in oesophageal adenocarcinoma, which had a PAF of 50.0% (95% CI 46.7–53.2), followed by uterine cancer with a PAF of 42.7% (95% CI 38.5–47.0). High PAFs were also observed for kidney and renal pelvis cancer (28.3%, 95% CI 25.1–31.6) and liver cancer (28.6%, 95% CI 24.9–32.4).

In the Pacific population, the total PAF was 11.8% (95% CI 10.9–12.7), accounting for 723 cancers (145 per year) attributable to EBW. Females showed a higher PAF of 16.1% (95% CI 14.6–17.6), translating to 550 cancers (110 per year), compared with males at 6.4% (95% CI 5.7–7.1), with 172 cancers (34 per year). Uterine cancer had the most substantial attributable burden with a PAF of 51.5% (95% CI 47.0–56.1) and 329 cancers (66 per year), accounting for more than half of the overall EBW cancer burden in Pacific females. Breast cancer in Pacific females over 50 had a PAF of 13.6% (95% CI 8.6–18.6), leading to 103 cancers, while colorectal cancer had a PAF of 17.0% (95% CI 12.9–21.3), with 89 cancers.

Among the Asian population, the total PAF was 3.7% (95% CI 3.2–4.1), accounting for 277 cancers (55 per year) attributable to EBW. Female cancers were more prevalent with a PAF of 4.2% (95% CI 3.6–4.7), accounting for 177 cancers (35 per year), compared with males at 3.0% (95% CI 2.4–3.7), with 100 cancers (20 per year). Uterine cancer had the highest number of EBW-attributable cancers with 67 (13 per year) and a PAF of 21.4% (95% CI 17.6–25.3).

For the European and Other populations, the total PAF was 4.5% (95% CI 4.0–5.0), corresponding to 4,859 cancers (972 per year) attributable to EBW. Females had a PAF of 5.4% (95% CI 4.6–6.2), leading to 2,577 cancers (515 per year), while males had a lower PAF of 3.8% (95% CI 3.2–4.4), contributing to 2,282 cases (456 per year). Colorectal cancer had the highest number of EBW-attributable cancers with 1,464 (293 per year) and a PAF of 10.3% (95% CI 7.2–13.3), followed by breast cancer in females over 50 with 865 cancers (173 per year) and a PAF of 8.3% (95% CI 5.9–10.9) and uterine cancer with a PAF of 32.8% (95% CI 28.9–36.7), resulting in 684 cancers (137 per year).

Impact of reduction in EBW on cancer

The estimated annual reduction in various types of cancers attributable to EBW under each EBW reduction scenario is presented in Table 6.

In scenario one, focussing on halving the prevalence of individuals with a BMI of ≥30kg/m2, just over 210 cancers could be prevented annually with the largest decrease in cancer cases seen in uterine cancer, with an annual reduction of 59 cases. This is followed by colorectal cancer, which shows a decrease of 55 cases, and kidney and renal cancers with a reduction of 26 cases.

Examining the impact by ethnicity under scenario one, the European/Other group exhibits the most significant decrease in these cancer types, with a total reduction of 136 cases. For Māori there is a reduction of 39 cases, for Pacific 28 cases, and for Asian eight cases.

By sex, females show a total reduction of 129 cases, largely attributed to decreases in breast and uterine cancers, while males, predominantly affected by colorectal cancer, see a reduction of 82 cases.

Under scenario two, where there is a halving of the EBW prevalence across both BMI categories, the reductions are more substantial, with a reduction of just over 610 cancers annually. Colorectal cancer shows the largest decrease with 168 cases, followed by breast cancer in females over 50 with a reduction of 117 cases and uterine cancer, which sees a decrease of 101 cases.

In terms of the ethnic-specific impact under scenario two, European/Other again leads with the largest reduction, totalling 435 cases. This is followed by Māori with a decrease of 94 cases, Pacific with 56 cases and Asian with 26 cases.

In scenario two, the sex-specific impact shows a more significant reduction in cancer cases among females, with a total decrease of 350 cases. This substantial reduction is largely attributed to decreases in breast and uterine cancers. Conversely, males exhibit a reduction of 261 cases, predominantly in colorectal cancer.

Discussion

We estimate that between 2019 and 2023 there were 6,962 cancer cases among New Zealand adults aged over 30 years that could be potentially attributed to EBW (5.1% of all cancers in this group). The overall PAF was higher in females (6.3%) than in males (4.1%), largely reflecting the associations of EBW with female-specific cancer risk. The overall PAF was highest for oesophageal cancer (44.2%) and uterine cancer (36.7%). In absolute terms, the greatest number of cancers attributable to EBW were colorectal (1,801), followed by uterine (1,331) and breast among postmenopausal females (1,231). Inequities are evident with higher proportions of EBW-attributable cancers within the Māori and Pacific populations. Pacific peoples had the highest PAF (11.8%), and this was highest among Pacific females (16.1%). Māori also had a higher PAF (6.9%) than European/Other (4.5%).

The estimates of PAF of the New Zealand population can be compared with other published reports. However, there are differences in PAF estimates across studies, reflecting population differences in the prevalence of EBW and the choice of relative risk estimates. Our estimates of PAF are slightly higher than those previously published for New Zealand.37 Blakely et al. reported a PAF for all cancers of 5.0% for males and 4.0% for females. For Māori, the PAF was a slightly less at 4.0% for males and slightly higher for Māori females at 5.0%. This difference is primarily a result of the different source used for estimates of relative risk and different estimates of EBW.

In Australia, estimates of PAF are lower at 3.4% overall and for both males (2.5%) and females (4.6%). In the United States of America, 4.7% of cancers in males and 9.6% of cancers in females have been shown to be attributable to EBW.38 Our estimate for the PAF for colorectal cancer was slightly higher than that published by Richardson et al. (9%); however, this difference could be accounted for as our study looked at only those in the 30+ age group.39

Our PAF modelling shows there is potential to impact cancer incidence by addressing the prevalence of EBW. In our first modelled scenario, reducing the BMI ≥30kg/m2 prevalence by half could prevent over 200 cancer cases annually, particularly in types such as uterine, colorectal and breast cancers. Differences were observed by ethnicity and sex, with the largest decreases seen in the European/Other group and in females. Our second scenario, which targets reductions in EBW across all BMI categories, suggests even greater potential reductions in colorectal and breast cancer incidences.

The potential reductions in cancer burden under different scenarios are based on observed associations between EBW and cancer incidence at a population level. While these associations are well documented, our approach does not establish direct causality and does not account for potential mediating factors that may influence the relationship between weight loss and cancer risk. Furthermore, the timeframe over which weight reduction might lead to measurable changes in cancer incidence remains uncertain. As such, these projections should be interpreted as exploratory estimates rather than definitive predictions of causal impact.

EBW increases cancer risk through a series of biological changes that promote tumour growth. In people with EBW, higher levels of insulin, insulin-like growth factor 1 (IGF-1) and leptin, combined with lower levels of protective adiponectin, create a pro-tumour environment. Leptin stimulates cancer cell growth and survival, while reduced adiponectin removes a natural defence against tumours.40 Specifically, gastrointestinal cancers like gastric and colorectal cancer are linked to EBW through altered lipid metabolism and chronic inflammation. Visceral adipose tissue secretes pro-inflammatory cytokines and promotes insulin resistance, fuelling tumour progression in the gastrointestinal tract.41 In postmenopausal women, EBW raises oestrogen levels, increasing the risk of hormone-sensitive cancers such as breast and endometrial cancers.40 Additionally, EBW-related increases in insulin and IGF-1 not only drive cell growth but also inhibit apoptosis, thereby contributing to cancer development in multiple organs, particularly gastrointestinal sites.41,42 Type 2 diabetes mellitus also independently increases the risk of endometrial cancer, even when EBW is accounted for, and the combination of both conditions further elevates the risk. This heightened risk is driven by chronic hyperinsulinaemia, insulin resistance and systemic inflammation, which together promote cellular proliferation and inhibit apoptosis. In women with EBW and diabetes, these processes are compounded, significantly contributing to tumour development.43

New Zealand’s recent funding of advanced cancer medications represents an important step forward in the treatment of EBW-related cancers.44 Immunotherapies—like pembrolizumab, now funded for advanced breast and colorectal cancer, nivolumab for kidney cancer and cetuximab for specific colorectal cancers—offer targeted treatment approaches. These treatments are especially relevant as EBW is a known risk factor for cancers such as breast, kidney and colorectal. By making these advanced therapies accessible, New Zealand has strengthened its cancer control strategy, addressing both the burden of EBW and the pressing need for effective treatment options in populations at higher risk due to EBW.

While evidence on intentional weight loss reducing cancer risk remains limited,45 evidence supports bariatric surgery as an effective intervention for lowering the risk of at least seven EBW-associated cancers, with the largest risk reductions seen in gynaecological cancers.46 Specifically for endometrial cancer, post-surgery reductions in key inflammatory markers, such as interleukin-6 and tumour necrosis factor alpha, contribute to reversing cancer-promoting conditions in the endometrium. Additionally, for women with precursor lesions like atypical endometrial hyperplasia, bariatric surgery has been effective in resolving these abnormalities, highlighting its potential in both cancer prevention and risk reduction for endometrial cancer in individuals with EBW.47 Furthermore, recent advances in pharmacotherapy are transforming the landscape for the treatment and management of EBW with clinical trials indicating marked weight reductions and health improvements.48 However, while bariatric surgery and pharmacotherapy show effectiveness in treatment, ensuring equitable access to these treatments is essential to achieving the benefits across populations.49 Integrated treatment pathways, linked with non-medical, community-centred and compassionate ongoing care, are vital to optimising long-term health outcomes, particularly for those with higher health needs.50

Sustained reductions in the burden of EBW-related cancers will largely depend on preventing EBW rather than relying solely on treatment-based interventions. At a broader population health level, New Zealand has implemented multifactorial, multilevel interventions aimed at reducing the burden of disease associated with EBW. These initiatives include the Healthy Eating: Healthy Action Plan, the Food and Beverage Classification System and the Childhood Obesity Plan. While these plans demonstrate a commitment to addressing EBW, progress has been uneven, particularly among vulnerable populations, and addressing the high prevalence of EBW remains challenging, indicating that continued innovative action is required. The obesogenic/health-disrupting environment, heavily influenced by commercial determinants, continues to play a significant role in shaping health behaviours. It has been argued that stronger, mandatory regulations, such as stricter advertising controls, taxation on unhealthy food components and improved food labelling, should be considered to complement existing voluntary measures.18,51 However, refining approaches and definitions is essential to enabling more equitable, non-stigmatising interventions that improve health outcomes related to EBW and enhance access to care for the most at-risk populations in New Zealand.5,52,53

Traditionally, the treatment, management and prevention of EBW focus on lifestyle. While personal choices in diet and exercise are essential, there is often an overemphasis on these factors, which tends to overlook the significant role that socio-economic disadvantage and systemic barriers play in shaping health outcomes. To effectively combat the root causes of EBW, it is essential to confront the underlying societal systems that contribute to weight gain. These systems include political, commercial, economic and socio-cultural dimensions. Action to support people, whānau and communities living with or at risk of EBW needs to be multidimensional, including focussing on tackling the obesogenic environment through policy and implementation at a system level, alongside community-driven programmes.54,55

Individuals with EBW report experiencing bias and stigma when seeking healthcare, including differential treatment and weight-related stigma from healthcare providers.56–58 Large-bodied females have been shown to have lower screening participation due to experiences of negative weight bias from their healthcare providers.58 In addition, treatments such as bariatric surgery demonstrate significant inequities in access.49 Pacific individuals have been shown to receive these interventions at half the rate of Europeans and Māori.59 This underscores the necessity of integrating strategies to eliminate bias and stigma in the development and implementation of programmes, services and policies aimed at preventing and treating EBW. Services looking to eliminate bias and stigma and to enhance equity might include incorporating Kaupapa Māori principles throughout their care pathway and introducing mentors who provide support and guidance to individuals undergoing the procedures.50 Such measures are essential to ensure equitable healthcare access for all population groups.

While this paper focusses on EBW and cancer, the considerations around language and destigmatisation extend to broader discussions of body size and health. Stigmatisation affects individuals across the weight spectrum, including those with very low body weight, who may face assumptions related to disordered eating or aesthetic motivations. Acknowledging these dynamics reinforces the need for nuanced, respectful language in public health discourse to avoid reinforcing harmful stereotypes and to support equitable, person-centred health approaches. Language and compassionate messaging are critical components in shaping public perceptions and stigma around body weight in healthcare settings.1 The concept of an “ideal body weight”, frequently highlighted by the media and emphasised in the medical community as both achievable and necessary, may not only misrepresent the complexities of individual health but also contribute to undue pressure on individuals to attain an ideal weight standard. Such ideals often reinforce stigmatising attitudes and overlook the diversity of healthy body types. It is vital for healthcare providers, patients and the public recognise that even slowing weight gain and moderate or small sustained weight loss (5–10%) can lead to significant health improvements, especially in managing comorbidities associated with EBW like hypertension, elevated blood glucose and abnormal plasma lipid levels.52,60 Thus, the focus of weight management strategies should shift from striving for an “ideal weight” to supporting realistic and health-centric goals, advocating for body diversity and challenging the stigma associated with varying body sizes.1,5

Moving forward, applying learnings from the destigmatising efforts in tobacco,61,62 infectious diseases,63 fat studies11 and Indigenous lived experiences,10 health practitioners need to recognise the value of adopting a more pro-equity, non-deficit approach to not only addressing EBW but the barriers individuals face in accessing and navigating healthcare services. The discipline of fat studies offers insight into approaches that destigmatise and aim to dismantle the societal stigma tied to weight, which will go some way to breaking down service access barriers and stigma associated with weight.11 However, these approaches must ensure to continue to be carefully aligned with broader public health objectives and messaging.

The findings of this study highlight the importance of investing in programmes, services and policy initiatives that prevent and manage EBW in New Zealand, particularly with respect to improving cancer outcomes. Improved access to healthcare can be achieved by ensuring services adopt a non-stigmatising and more holistic approach to care, which will assist in breaking down barriers to access and ensure we are in a better position to respond to the needs of patients with EBW and prevent associated cancers.

Strengths

A strength of this current study was the use of cancer registry data, which is considered a full list of all primary cancers registered in New Zealand. In addition, we used relative risk estimates from meta-analysis of high-quality cohort studies of cancers where a causal link of EBW to cancer risk has been shown to have a robust dose–response relationship and a biological mechanism has been described. Our estimates of BMI came from a national representative survey and were not self-reported measures of BMI.

Limitations

The reliance on relative risk estimates from overseas studies necessitates caution, as their applicability to the New Zealand context may be limited. This limitation is particularly relevant given the potential for differences in associations of EBW in certain ethnic groups within New Zealand, such as Māori or Pacific peoples, due to unique genetic, lifestyle or environmental factors.64

An important limitation of this study is the broad categorisation of participants as “Asian”, which may mask considerable heterogeneity within this group. Differences in dietary practices and disease profiles between New Zealand‐born Asians and recent immigrants may affect EBW‐related outcomes. However, due to limitations of the data relating to EBW, we were unable to further subdivide the Asian category. Future studies with more detailed subgroup data are needed to address these potential differences.

A further limitation is using BMI in calculating the PAF for EBW-related cancers. A critique of BMI is its inability to differentiate between fat mass and lean muscle, potentially leading to misclassification of an individuals’ EBW.65 While BMI is commonly employed as the primary indicator for assessing trends in body weight at the population level, it is important to recognise that it does not directly measure body fat but rather estimates it based on height and weight.21

The medicalisation of EBW, particularly through the use of BMI, has also been critiqued for framing body weight as a medical condition requiring intervention, often neglecting the broader social, economic and behavioural factors that contribute to it. BMI, as a simplified measure, tends to focus on weight as the primary indicator of health, which can reduce complex health issues to a single metric without considering the full context of an individual's health.66

The issues relating to BMI underscore the potential usefulness of other measures, such as waist circumference or waist-to-hip ratio, which may provide more specific insights into fat distribution. These measures are especially relevant in assessing health risks associated with EBW, such as cancers where central or visceral fatness plays a crucial role.67,68 However, the scarcity of relative risk estimates based on alternate measures, coupled with the lack of population-level data using them, poses a challenge. Nonetheless, studies of disease burden indicate that the excess risk of disease associated with EBW is evident, whether defined via BMI or waist circumference.69,70 It is also important to note the possibility of overestimation of EBW in some ethnic groups, particularly Pacific peoples, when using current cutoffs, given the previous findings of higher lean mass compared with Europeans.71 The absence of ethnic-specific cutoffs for EBW highlights an area for future research and development of more culturally sensitive and accurate measures to address EBW’s health implications.

When assessing the impact of changes in EBW prevalence on the PAF for cancer, several limitations must be acknowledged. First, the relationship between EBW and cancer is complex and influenced by additional factors such as physical activity, diet and genetic predisposition, which may act as confounders. Our estimates assume that the effect of EBW is independent of these factors, but in reality, these influences overlap and collectively shape cancer risk at a population level. Second, EBW prevalence is not static and can change over time due to shifts in population health trends, lifestyle behaviours and environmental influences. These broader changes not only affect the burden of EBW-related cancers but also contribute to fluctuations in overall cancer incidence across the population. Third, the impact of population-level changes in EBW prevalence on cancer incidence is not immediate or uniform across all cancer types. While some cancers may respond to long-term shifts in EBW prevalence, others may be less sensitive to these changes, making it difficult to estimate the exact timeline and magnitude of cancer reductions. Finally, population heterogeneity means that cancer risk varies across different demographic and socio-economic groups, making it difficult to generalise a single PAF estimate across the entire population.

While our estimates of cancer burden attributable to EBW are based on well-documented associations, they do not demonstrate direct causality. The PAF methodology relies on an assumed causal relationship between EBW and cancer incidence, grounded in observational data that may be subject to residual confounding and unmeasured variables. Nonetheless, strong biological mechanisms support this association. Despite the inherent challenges of establishing causality in cancer development, our findings highlight the considerable contribution of EBW as a modifiable risk factor and reinforce the importance of prevention strategies to reduce the future burden of EBW-related cancers. The PAF remains a valuable tool for estimating the relative significance of EBW and the potential impact of primary prevention efforts, and for contextualising global epidemiological evidence within the New Zealand population.

Conclusion

Between 2019 and 2023, we estimate that EBW contributed to over 6,900 cancers in New Zealand, representing a significant and preventable burden on individuals, communities and the healthcare system. This study reveals clear inequities, particularly among Pacific women, whose PAF is nearly double that of the next closest group, Māori women. These differences underscore the need for tailored interventions that address the distinct socio-cultural, economic and environmental factors faced by these populations.

Addressing the cancer burden associated with EBW requires a sustained and coordinated approach that prioritises the integration of EBW management within cancer control strategies. This includes focussing on prevention through culturally appropriate and community-driven programmes, particularly for Māori and Pacific populations. Equally important is reducing stigma and bias in healthcare settings to ensure equitable access to care, particularly for large-bodied individuals who may face barriers to receiving appropriate treatment. By adopting holistic, non-stigmatising approaches and improving access to services like bariatric surgery and weight management, we can significantly improve cancer outcomes for high-risk groups.

In conclusion, reducing the incidence of cancers associated with excess EBW and improving health equity in New Zealand will require a long-term, sustained commitment. This includes investing in culturally appropriate prevention programmes, ensuring equitable access to clinical services, such as bariatric surgery and weight management, and implementing initiatives that address stigma and bias in healthcare. These efforts must be integrated into accessible health pathways across communities, and within both primary and secondary care. By prioritising equity, eliminating weight-related stigma and addressing the broader determinants of EBW, we can reduce cancer rates and improve overall health outcomes, especially for those disproportionately affected, such as Māori and Pacific communities.

Aim

This study quantifies the incidence of cancers attributable to excess body weight (EBW) in Aotearoa New Zealand adults aged 30+ from 2019 to 2023 and assesses public health implications.

Methods

Relative risk estimates from an existing review and EBW prevalence from the New Zealand Health Survey were used to calculate population attributable fractions (PAFs) for 12 cancer types. PAFs were applied to Cancer Registry data to estimate EBW-attributable cases. Confidence intervals were calculated using bootstrap techniques. Two scenarios explored the potential impact of reducing EBW prevalence.

Results

An estimated 6,962 cancers (5.1% of all cases) were potentially attributable to EBW, averaging 1,390 cases annually. The impact was greater for females (PAF 6.3%) than males (PAF 4.1%). Among Māori, 6.9% of cancers (221 per year) were attributed to EBW, while Pacific peoples had a higher PAF of 11.8% (145 cases per year). PAFs were highest for Pacific females (16.1%, 110 per year). Modelling suggests halving EBW prevalence could potentially prevent 600 cases annually.

Conclusion

EBW contributes to a large number of cancers in New Zealand, compounding health inequities, particularly for Māori and Pacific peoples. These inequities highlight the urgent need for multisectoral, collaborative interventions that address the complex, inequitable drivers of EBW. Public health must strengthen its pro-equity, anti-stigmatising approach to prevention, management and treatment. However, sustained reductions in EBW-related cancers will ultimately depend on preventing EBW rather than relying on treatment-based interventions.

Authors

Michael Walsh: Epidemiologist, Planning, Funding and Outcomes, Health New Zealand – Te Whatu Ora, Auckland, Aotearoa New Zealand.

Jennifer Brenton-Peters: Programme Manager, Planning, Funding and Outcomes, Health New Zealand – Te Whatu Ora, Auckland, Aotearoa New Zealand.

Olivia Perelini: Registrar, Planning, Funding and Outcomes, Health New Zealand – Te Whatu Ora, Auckland, Aotearoa New Zealand.

Karen Bartholomew: Director Health Gain Development, Health New Zealand – Te Whatu Ora, Auckland, Aotearoa New Zealand.

Disclaimer: The views and opinions expressed in this paper are those of the authors and do not necessarily reflect those of Health New Zealand – Te Whatu Ora.

Correspondence

Michael Walsh: Epidemiologist, Planning, Funding and Outcomes, Health New Zealand – Te Whatu Ora, Level 2, Q4 Building, Smales Farm, 74 Taharoto Road, Takapuna, Auckland 0622 | Private Bag 93-503, Takapuna 0740, Aotearoa New Zealand.

Correspondence email

michael.walsh@tewhatuora.govt.nz

Competing interests

JBP is currently employed with AIA Vitality New Zealand. The data for this study were collected and analysed and the original paper written while JBP was employed as programme manager with Health New Zealand – Te Whatu Ora.

1)       Wharton S, Lau DCW, Vallis M, et al. Obesity in adults: a clinical practice guideline. CMAJ. 2020;192(31):E875-E891. doi: 10.1503/cmaj.191707.

2)       Gaspar MCMP, Sato PM, Scagliusi FB. Under the ‘weight’ of norms: Social representations of overweight and obesity among Brazilian, French and Spanish dietitians and laywomen. Soc Sci Med. 2022;298:114861. doi: 10.1016/j.socscimed.2022.114861.

3)       Black CK, Vartanian LR, Faasse K. Lay beliefs about the perceived harmfulness of excess weight: Influence of weight status and the cause of weight. Appl Psychol Health Well Being. 2024;16(2):653-671. doi: 10.1111/aphw.12509.

4)       Phelan SM, Burgess DJ, Yeazel MW, et al. Impact of weight bias and stigma on quality of care and outcomes for patients with obesity. Obes Rev. 2015;16(4):319-26. doi: 10.1111/obr.12266.

5)       English S, Vallis M. Moving beyond eat less, move more using willpower: Reframing obesity as a chronic disease impact of the 2020 Canadian obesity guidelines reframed narrative on perceptions of self and the patient-provider relationship. Clin Obes. 2023;13(6):e12615. doi: 10.1111/cob.12615.

6)       Butler ÉM, Pillai A, Morton SMB, et al. A prediction model for childhood obesity in New Zealand. Sci Rep. 2021;11(1):6380. doi: 10.1038/s41598-021-85557-z.

7)       WHO Consultation on Obesity, World Health Organization. Obesity: preventing and managing the global epidemic: report of a WHO consultation. Geneva, Switzerland: World Health Organization; 1999. https://iris.who.int/handle/10665/42330

8)       Daniels L, Cutfield WS, Taylor RW, Taylor BJ. Why BMI should still be on the table. N Z Med J. 2020;133(1513):97-100.

9)       Puhl RM, Heuer CA. Obesity stigma: important considerations for public health. Am J Public Health. 2010;100(6):1019-28. doi: 10.2105/AJPH.2009.159491.

10)    Gillon A, Pausé C. Kōrero Mōmona, Kōrero ā-Hauora: a Kaupapa Māori and fat studies discussion of fatness, health and healthism. Fat Studies. 2022;11(1):8-21. doi: 10.1080/21604851.2021.1906525.

11)    Lee JA, Pausé CJ. Stigma in Practice: Barriers to Health for Fat Women. Front Psychol. 2016;7:2063. doi: 10.3389/fpsyg.2016.02063.

12)    Anekwe CV, Jarrell AR, Townsend MJ, et al. Socioeconomics of Obesity. Curr Obes Rep. 2020;9(3):272-279. doi: 10.1007/s13679-020-00398-7.

13)    Arena R, Pronk NP, Woodard C. Physical Inactivity and Obesity in the United States: At the Intersection of Politics, Socioeconomics, Race, and Culture. Curr Probl Cardiol. 2023;48(12):102007. doi: 10.1016/j.cpcardiol.2023.102007.

14)    Organisation for Economic Co-operation and Development. The Heavy Burden of Obesity: The Economics of Prevention. Paris, France: OECD Publishing; 2019 [cited 2025 Mar 31]. Available from: https://doi.org/10.1787/67450d67-en

15)    Ministry of Health – Manatū Hauora. New Zealand Health Survey 2023/24 Annual Data Explorer [Internet]. Wellington, New Zealand; 2024 [cited 2025 Mar 31]. Available from: https://minhealthnz.shinyapps.io/nz-health-survey-2023-24-annual-data-explorer/

16)    Organisation for Economic Cooperation and Development. Health at a Glance 2019: OECD Indicators. 2019:1-243. doi: 10.1787/4dd50c09-en.

17)    Simmonds M, Llewellyn A, Owen CG, Woolacott N. Predicting adult obesity from childhood obesity: a systematic review and meta-analysis. Obes Rev. 2016;17(2):95-107. doi: 10.1111/obr.12334.

18)    Swinburn BA, Sacks G, Hall KD, et al. The global obesity pandemic: shaped by global drivers and local environments. Lancet. 2011;378(9793):804-14. doi: 10.1016/S0140-6736(11)60813-1.

19)    Pineda E, Stockton J, Scholes S, et al. Food environment and obesity: a systematic review and meta-analysis. BMJ Nutr Prev Health. 2024;7(1):204-211. doi: 10.1136/bmjnph-2023-000663.

20)    Swinburn B, Egger G, Raza F. Dissecting obesogenic environments: the development and application of a framework for identifying and prioritizing environmental interventions for obesity. Prev Med. 1999;29(6 Pt 1):563-70. doi: 10.1006/pmed.1999.0585.

21)    Lauby-Secretan B, Scoccianti C, Loomis D, et al. Body Fatness and Cancer--Viewpoint of the IARC Working Group. N Engl J Med. 2016;375(8):794-8. doi: 10.1056/NEJMsr1606602.

22)    Guh DP, Zhang W, Bansback N, et al. The incidence of co-morbidities related to obesity and overweight: a systematic review and meta-analysis. BMC Public Health. 2009;9:88. doi: 10.1186/1471-2458-9-88.

23)    Larsson SC, Spyrou N, Mantzoros CS. Body fatness associations with cancer: evidence from recent epidemiological studies and future directions. Metabolism. 2022;137:155326. doi: 10.1016/j.metabol.2022.155326.

24)    Bandini M, Gandaglia G, Briganti A. Obesity and prostate cancer. Curr Opin Urol. 2017;27(5):415-421. doi: 10.1097/MOU.0000000000000424.

25)    Teng AM, Atkinson J, Disney G, et al. Ethnic inequalities in cancer incidence and mortality: census-linked cohort studies with 87 million years of person-time follow-up. BMC Cancer. 2016;16(1):755. doi: 10.1186/s12885-016-2781-4.

26)    Cleverley T, Meredith I, Sika-Paotonu D, Gurney J. Cancer incidence, mortality and survival for Pacific Peoples in Aotearoa New Zealand. N Z Med J. 2023;136(1586):12-31. doi: 10.26635/6965.6299.

27)    Gurney J, Stanley J, McLeod M, et al. Disparities in Cancer-Specific Survival Between Māori and Non-Māori New Zealanders, 2007-2016. JCO Glob Oncol 2020;6:766-774. doi: 10.1200/GO.20.00028.

28)    Curtis E, Jones R, Tipene-Leach D, et al. Why cultural safety rather than cultural competency is required to achieve health equity: a literature review and recommended definition. Int J Equity Health. 2019;18(1):174. doi: 10.1186/s12939-019-1082-3.

29)    Soeberg M, Blakely T, Sarfati D. Trends in ethnic and socioeconomic inequalities in cancer survival, New Zealand, 1991-2004. Cancer Epidemiol. 2015;39(6):860-2. doi: 10.1016/j.canep.2015.10.018.

30)    Talamaivao N, Harris R, Cormack D, et al. Racism and health in Aotearoa New Zealand: a systematic review of quantitative studies. N Z Med J. 2020;133(1521):55-68.

31)    Gurney J, Stanley J, Sarfati D. The inequity of morbidity: Disparities in the prevalence of morbidity between ethnic groups in New Zealand. J Comorb. 2020;10:2235042X20971168. doi: 10.1177/2235042X20971168.

32)    Williams L, Henry C, Simcock B, Filoche S. Increasing incidence of endometrial cancer in Aotearoa New Zealand: Health professionals’ perspective. Aust N Z J Obstet Gynaecol. 2024 Apr;64(2):114-119. doi: 10.1111/ajo.13751.

33)    Ministry of Health – Manatū Hauora. HISO 10001:2017 Ethnicity Data Protocols [Internet]. Wellington, New Zealand: 2017 [cited 2025 Mar 31]. Available from:  https://www.tewhatuora.govt.nz/assets/Our-health-system/Digital-health/Health-information-standards/HISO-10001-2017-Ethnicity-Data-Protocols.pdf

34)    Harris R, Paine SJ, Atkinson J, et al. We still don't count: the under-counting and under-representation of Māori in health and disability sector data. N Z Med J. 2022;135(1567):54-78. doi: 10.26635/6965.5849.

35)    Brown KF, Rumgay H, Dunlop C, et al. The fraction of cancer attributable to modifiable risk factors in England, Wales, Scotland, Northern Ireland, and the United Kingdom in 2015. Br J Cancer. 2018;118(8):1130-1141. doi: 10.1038/s41416-018-0029-6.

36)    Ministry of Health – Manatū Hauora. A Portrait of Health. Key Results of the 2006/07 New Zealand Health Survey [Internet]. Wellington, New Zealand: Ministry of Health; 2008 [cited 2024 Dec 14]. Available from: https://thehub.sia.govt.nz/resources/a-portrait-of-health-key-results-of-the-200607-new-zealand-health-survey

37)    Blakely T, Sarfati D, Shaw C. What proportion of cancer is due to obesity? N Z Med J. 2009;122(1290):9-13.

38)    Islami F, Goding Sauer A, Gapstur SM, Jemal A. Proportion of Cancer Cases Attributable to Excess Body Weight by US State, 2011-2015. JAMA Oncol. 2019;5(3):384-392. doi: 10.1001/jamaoncol.2018.5639.

39)    Richardson A, Hayes J, Frampton C, Potter J. Modifiable lifestyle factors that could reduce the incidence of colorectal cancer in New Zealand. N Z Med J. 2016;129(1447):13-20.

40)    Hopkins BD, Goncalves MD, Cantley LC. Obesity and Cancer Mechanisms: Cancer Metabolism. J Clin Oncol 2016;34(35):4277-4283. doi: 10.1200/JCO.2016.67.9712.

41)    Mitchelson KAJ, O’Connell F, O’Sullivan J, Roche HM. Obesity, Dietary Fats, and Gastrointestinal Cancer Risk-Potential Mechanisms Relating to Lipid Metabolism and Inflammation. Metabolites. 2024;14(1):42. doi: 10.3390/metabo14010042.

42)    Lee-Rueckert M, Canyelles M, Tondo M, et al. Obesity-induced changes in cancer cells and their microenvironment: Mechanisms and therapeutic perspectives to manage dysregulated lipid metabolism. Semin Cancer Biol. 2023;93:36-51. doi: 10.1016/j.semcancer.2023.05.002.

43)    Njoku K, Agnew HJ, Crosbie EJ. Impact of Type 2 Diabetes Mellitus on Endometrial Cancer Survival: A Prospective Database Analysis. Front Oncol 2022;12:899262. doi: 10.3389/fonc.2022.899262.

44)    Pharmac – Te Pātaka Whaioranga. First cancer medicine decision following Pharmac funding boost [Internet]. 2024 Sep 9 [cited 2024 Nov 4]. Available from: https://pharmac.govt.nz/news-and-resources/news/first-cancer-medicine-decision-following-pharmac-funding-boost

45)    Ma C, Avenell A, Bolland M, et al. Effects of weight loss interventions for adults who are obese on mortality, cardiovascular disease, and cancer: systematic review and meta-analysis. BMJ. 2017;359:j4849. doi: 10.1136/bmj.j4849.

46)    Wilson RB, Lathigara D, Kaushal D. Systematic Review and Meta-Analysis of the Impact of Bariatric Surgery on Future Cancer Risk. Int J Mol Sci. 2023;24(7):6192. doi: 10.3390/ijms24076192.

47)    Naqvi A, MacKintosh ML, Derbyshire AE, et al. The impact of obesity and bariatric surgery on the immune microenvironment of the endometrium. Int J Obes (Lond). 2022;46(3):605-612. doi: 10.1038/s41366-021-01027-6.

48)    Shi Q, Wang Y, Hao Q, et al. Pharmacotherapy for adults with overweight and obesity: a systematic review and network meta-analysis of randomised controlled trials. Lancet. 2024;403(10434):e21-e31. doi: 10.1016/S0140-6736(24)00351-9.

49)    Rahiri JL, Lauti M, Harwood M, MacCormick AD, Hill AG. Ethnic disparities in rates of publicly funded bariatric surgery in New Zealand (2009-2014). ANZ J Surg. 2018;88(5):E366-E369. doi: 10.1111/ans.14220.

50)    Rahiri JL, Tuhoe J, Gillon A, et al. Enhancing responsiveness to Māori in a publicly funded bariatric service in Aotearoa New Zealand. ANZ J Surg. 2020;90(4):508-513. doi: 10.1111/ans.15610.

51)    Swinburn BA. Obesity prevention: the role of policies, laws and regulations. Aust New Zealand Health Policy. 2008;5:12. doi: 10.1186/1743-8462-5-12.

52)    Mack M, Savila F, Bagg W, et al. Interventions to prevent or manage obesity in Māori and Pacific adults: a systematic review and narrative synthesis. Ethn Health 2023;28(4):562-585. doi: 10.1080/13557858.2022.2078482.

53)    Rubino F, Cummings DE, Eckel RH, et al. Definition and diagnostic criteria of clinical obesity. Lancet Diabetes Endocrinol. 2025;13(1):221-262. doi: 10.1016/S2213-8587(24)00316-4. Erratum in: Lancet Diabetes Endocrinol. 2025 Mar;13(3):e6. doi: 10.1016/S2213-8587(25)00006-3.

54)    Masters-Awatere B, Cassim S, et al. He Pikinga Waiora Kimi Ora lifestyle programme: case study of a successful community-based Indigenous diabetes intervention. N Z Med J. 2021;134(1545):68-78.

55)    Savila F, Leakehe P, Bagg W, et al. Understanding engagement with Brown Buttabean Motivation, an Auckland grassroots, Pacific-led holistic health programme: a qualitative study. BMJ Open. 2022;12(4):e059854. doi: 10.1136/bmjopen-2021-059854.

56)    Norman K, Chepulis L, Burrows L, Lawrenson R. Barriers to obesity health care from GP and client perspectives in New Zealand general practice: A meta-ethnography review. Obes Rev. 2022;23(10):e13495. doi: 10.1111/obr.13495.

57)    Kirk SF, Price SL, Penney TL, et al. Blame, Shame, and Lack of Support: A Multilevel Study on Obesity Management. Qual Health Res. 2014;24(6):790-800. doi: 10.1177/1049732314529667.

58)    Russell N, Carryer J. Living large: the experiences of large-bodied women when accessing general practice services. J Prim Health Care. 2013;5(3):199-205.

59)    Garrett M, Poppe K, Wooding A, Murphy R. Private and Public Bariatric Surgery Trends in New Zealand 2004-2017: Demographics, Cardiovascular Comorbidity and Procedure Selection. Obes Surg. 2020;30(6):2285-2293. doi: 10.1007/s11695-020-04463-x.

60)    Magkos F, Fraterrigo G, Yoshino J, et al. Effects of Moderate and Subsequent Progressive Weight Loss on Metabolic Function and Adipose Tissue Biology in Humans with Obesity. Cell Metab. 2016;23(4):591-601. doi: 10.1016/j.cmet.2016.02.005.

61)    Hamann HA, Williamson TJ, Studts JL, Ostroff JS. Lung Cancer Stigma Then and Now: Continued Challenges Amid a Landscape of Progress. J Thorac Oncol. 2021;16(1):17-20. doi: 10.1016/j.jtho.2020.10.017.

62)    Ostroff JS, Banerjee SC, Lynch K, et al. Reducing stigma triggered by assessing smoking status among patients diagnosed with lung cancer: De-stigmatizing do and don't lessons learned from qualitative interviews. PEC Innov. 2022;1:100025. doi: 10.1016/j.pecinn.2022.100025.

63)    Kagan D, Seear K, Lenton E, et al. The trouble with normalisation: Transformations to hepatitis C health care and stigma in an era of viral elimination. Sociol Health Illn. 2023;45(7):1421-1440. doi: 10.1111/1467-9566.13638.

64)    Rush EC, Freitas I, Plank LD. Body size, body composition and fat distribution: comparative analysis of European, Maori, Pacific Island and Asian Indian adults. Br J Nutr. 2009;102(4):632-41. doi: 10.1017/S0007114508207221.

65)    Rothman KJ. BMI-related errors in the measurement of obesity. Int J Obes (Lond). 2008;32 Suppl 3:S56-9. doi: 10.1038/ijo.2008.87.

66)    Campos P, Saguy A, Ernsberger P, et al. The epidemiology of overweight and obesity: public health crisis or moral panic? Int J Epidemiol. 2006;35(1):55-60. doi: 10.1093/ije/dyi254.

67)    Venniyoor A. The most important questions in cancer research and clinical oncology-Question 2-5. Obesity-related cancers: more questions than answers. Chin J Cancer. 2017;36(1):18. doi: 10.1186/s40880-017-0185-8.

68)    Shuster A, Patlas M, Pinthus JH, Mourtzakis M. The clinical importance of visceral adiposity: a critical review of methods for visceral adipose tissue analysis. Br J Radiol. 2012;85(1009):1-10. doi: 10.1259/bjr/38447238.

69)    Turley M, Tobias M, Paul S. Non-fatal disease burden associated with excess body mass index and waist circumference in New Zealand adults. Aust N Z J Public Health. 2006;30(3):231-7. doi: 10.1111/j.1467-842x.2006.tb00863.x.

70)    Taylor RW, Brooking L, Williams SM, et al. Body mass index and waist circumference cutoffs to define obesity in indigenous New Zealanders. Am J Clin Nutr. 2010;92(2):390-7. doi: 10.3945/ajcn.2010.29317.

71)    Duncan JS, Duncan EK, Schofield G. Ethnic-specific body mass index cut-off points for overweight and obesity in girls. N Z Med J 2010;123(1311):22-9.